Page 125 - Advanced echocardiography in characterization and management of patients with secondary mitral regurgitation
P. 125

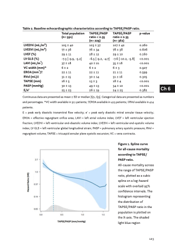
Table 2. Baseline echocardiographic characteristics according to TAPSE/PASP ratio.
  LVEDVi (mL/m2) LVESVi (mL/m2) LVEF (%)
LV GLS (%)
LAVI (mL/m2) VC width (mm)* EROA (mm2)† RVol (mL)‡ TAPSE (mm) PASP (mmHg) E/e’
Total population (n= 591)
105 ± 40
77 ± 36
29 ± 11
-7.3 [-9.9, -5.2] 37 ± 18
6± 2 22 ± 11 31 ± 15 16 ± 5 30 ± 13 25 ± 23
TAPSE/PASP ratio < 0.35 (n= 229)
103 ± 37
76 ± 34
28 ± 12
-6.5 [-9.2, -4.7] 42 ± 21
6 ±2 22 ± 11 30 ± 14 13 ± 3 49 ± 13 26 ± 19
TAPSE/PASP ratio ≥ 0.35 (n= 362)
107 ± 42
78 ± 38
29 ± 10
-7.6 [-10.2, -5.8] 35 ± 16
6 ±3 21 ± 11 31 ± 16 18 ± 4 34 ± 10 24 ± 25
p-value
0.260 0.606 0.160 <0.001 <0.001 0.927 0.599 0.305 <0.001 <0.001 0.382
 Continuous data are presented as mean
and percentages. *VC width available in
patients.
E = peak early diastolic transmitral flow velocity; e′ = peak early diastolic mitral annular tissue velocity; EROA = effective regurgitant orifice area; LAVI = left atrial volume index; LVEF = left ventricular ejection fraction; LVEDVi = left ventricular end-diastolic volume index; LVESVi = left ventricular end-systolic volume index; LV GLS = left ventricular global longitudinal strain; PASP = pulmonary artery systolic pressure; RVol = regurgitant volume; TAPSE = tricuspid annular plane systolic excursion; VC = vena contracta.
Figure 1. Spline curve for all-cause mortality according to TAPSE/ PASP ratio.
All-cause mortality across the range of TAPSE/PASP ratio, plotted as a cubic spline on a log-hazard scale with overlaid 95% confidence intervals. The histogram representing the distribution of TAPSE/PASP ratio in the population is plotted on the X-axis. The shaded light blue region
± SD or median [Q1, Q3]. Categorical data are presented as numbers 511 patients; †EROA available in 415 patients; ‡RVol available in 414
 123
 Ch 6


































































   123   124   125   126   127